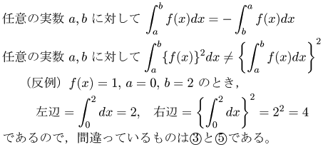
問題


略解


次の問題へ